Skip to content
要是能上华科就好了
Expand Menu
友链
时光轴
时光轴
微雨说说
视频
影视
来访统计
Expand Menu
友链
时光轴
时光轴
微雨说说
视频
影视
来访统计
电磁场
2023年9月18日
www
未分类
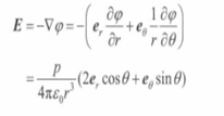
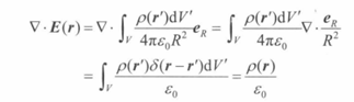
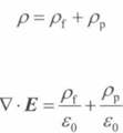
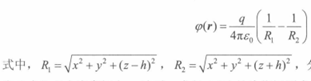
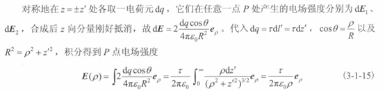
第三章
未分类
最后的诗句
2025年2月19日
未分类
工业美学
2026年4月12日
未分类
概率
2023年11月7日
未分类
linux
2023年9月16日